1.Các đặc tính cơ bản của Bạc kim loại
+ Cấu hình electron của bạc: 1s22s22p63s23p63d104s24p64d105s1
+ Bán kính nguyên tử Ag: 0,288 nm
+ Bán kính ion bạc: 0,23 nm
Nói chung bạc kim loại và các hợp chất của bạc có tính kháng khuẩn tốt (diệt nấm khuẩn, virus, khử mùi hôi). Đặc biệt ở kích thước nano (5-10nm), các hạt nano bạc thể hiện mạnh mẽ khả năng diệt nấm, vi khuẩn vượt trội so với kim loại bạc nguyên khối (kích thước lớn, không phải kích thước nano).
2.Nano Bạc là gì ? Phạm vi ứng dụng của hạt nano Bạc
Nano Bạc là một dung dịch có màu đỏ cánh gián trong đó có chứa các hạt bạc có kích thước từ 2-5 nanomet phân bố đều trong các chất biến tính bề mặt và hệ phân tán chống keo tụ, chống oxy hóa. Công nghệ nano giúp chia nhỏ bạc khối thành dạng kích thước nhỏ nhất (nanomet), qua đó làm tăng diện tích bề mặt và khả năng kháng khuẩn của bạc được tăng lên gấp nhiều lần. Chính vì vậy nano bạc có thể diệt khuẩn và nấm ngay khi tiếp xúc bề mặt.
Lưu ý: kích thước 3 chiều của hạt nano bạc càng nhỏ, khả năng kháng khuẩn, diệt nấm càng mạnh (hiện nay chúng tôi đã tổng hợp được các hạt nano bạc kích thước 2-3nm). Trong điều kiện tự nhiên, các hạt nano bạc giải phóng liên tục ion Bạc Ag+, các ion dương này có khả năng diệt khuẩn và nấm hiệu quả.
Các nhà khoa học đã chứng minh ion bạc có khả năng tiêu diệt hơn 650 chủng vi sinh gây bệnh cho người. Do bạc có khả năng tiêu diệt hơn 650 chủng vi sinh gây bệnh cho người mà chúng không có khả năng tạo đề kháng chống lại tác động của bạc do bạc ức chế quá trình chuyển hóa hô hấp và vận chuyển chất qua màng tế bào vi sinh vật. Bạc có khả năng phá huỷ enzyme vận chuyển chất dinh dưỡng của tế bào vi khuẩn. Làm yếu màng, thành tế bào và tế bào chất, làm rối loạn quá trình trao đổi chất, dẫn đến tiêu diệt vi khuẩn. Không chỉ vậy, các nguyên tố bạc không có hại với cơ thể con người. Nên có thể sử dụng với liều lượng tương đối cao.
Ưu điểm vượt trội của hạt nano bạc:
+ Nano bạc có khả năng tiêu diệt vi khuẩn, diệt virus, chống nấm, khử mùi hiệu quả, khả năng ứng dụng của nano bạc rộng rãi (nhiều lĩnh vực trong đời sống).
+ Nano bạc tiêu diệt triệt để bào tử nấm, vi khuẩn, virus gây bệnh và không cho vi khuẩn có cơ hội tạo ra tính kháng thuốc. Do đó nano bạc có thể sử dụng thường xuyên lâu dài mà không phải thay thế các chế phẩm (thuốc) diệt khuẩn khác.
+ Nano bạc không có hại cho sức khỏe con người, không có phụ gia hóa chất, không gây tồn dư các chất hóa học độc hại trên nông sản sau thu hoạch. Các tế bào động vật thuộc nhóm sinh vật bậc cao có lớp màng bảo vệ hoàn toàn khác so với tế bào vi sinh vật đơn bào (Nấm, Vi khuẩn và Virus). Chúng có hai lớp Lipoprotein giàu liên kết đôi bền vững có khả năng cho điện tử do đó không cho phép các ion Bạc xâm nhập, vì vậy chúng không bị tổn thương khi tiếp xúc với các ion Bạc (an toàn đối với con người).
+ Có khả năng phân tán ổn định trong các loại dung môi khác nhau (trong các dung môi phân cực như nước và trong các dung môi không phân cực như benzene, toluene).
+ Độ bền hóa học cao, không bị biến đổi dưới các tác nhân oxy hóa khử thông thường của môi trường. Thời hạn sử dụng (bảo quản) của nano bạc tương đối dài từ 2-3 năm.
+ Do nano bạc có kích thước vô cùng nhỏ (từ 2-10nm) nên khi phun qua lá các hạt nano bạc dễ dàng bám dính trên các kẽ lá (kẽ lá và tế bào khí khổng, thủy khổng có độ lớn vài chục micromet).
Lưu ý: 1 nm (nanomet) bằng 1 phần tỷ mét; 1 micromet bằng 1 phần triệu mét.
+ Chi phí cho quá trình sản xuất thấp, ổn định ở nhiệt độ cao, không bị keo tụ ở môi trường phân tán.
+ Đặc biệt ngoài khả năng diệt nấm khuẩn mạnh mẽ nano bạc còn góp phần làm tăng năng suất - sản lượng nông sản. Đồng thời nano bạc còn có tác dụng nâng cao chất lượng và mẫu mã nông sản qua đó kéo dài thời gian bảo quản nông sản sau thu hoạch (do nano bạc có khả năng chống sự xâm nhiễm của nấm khuẩn gây thối hoa, quả sau thu hoạch, muốn đạt được hiệu quả này chúng ta cần sử dụng nano bạc cho cây trồng vào thời điểm trước và sau thu hoạch).
Phạm vi ứng dụng của nano bạc:
Nano Bạc được ứng dụng rất rộng rãi trong đời sống hiện nay. Có thể kể đến các lĩnh vực được ứng dụng nano bạc như: làm Gel nước rửa tay, dung dịch vệ sinh phụ nữ, kem đánh răng, sữa tắm, xà phòng, làm nước lau sàn (lau nhà ở, văn phòng làm việc, bệnh viện), làm khẩu trang nano bạc, khăn ướt, phủ lớp nano bạc trên vải để sản xuất quần áo trong bệnh viện, dung dịch nano bạc vệ sinh đồ chơi cho trẻ em, bảo quản hoa quả - nông sản sau thu hoạch, làm nước cắm hoa, làm dung dịch khử mùi hôi, ứng dụng rộng rãi trong nông nghiệp (làm các chế phẩm thuốc trong chăn nuôi gia súc, gia cầm, xử lý nguồn nước ô nhiễm, nước nhiễm khuẩn trong chăn nuôi thủy sản, thuốc BVTV cho cây trồng...).
Trong phạm vi bài viết này chúng tôi xin đề cập ứng dụng nano bạc trong sản xuất nông nghiệp
Ngoài công dụng diệt nấm khuẩn, khử mùi hôi, nano bạc còn làm tăng hiệu suất quang hợp cho cây trồng, nâng cao năng suất - chất lượng nông sản sau thu hoạch, tạo mã quả sáng bóng.
Vậy tại sao nano bạc lại có tác dụng làm tăng năng suất nông sản ?
Bởi nano bạc có vai trò quan trọng đối với hoạt động quang hợp của cây trồng nói chung (tăng cường khả năng hấp thụ ánh sáng qua lá)
Chúng ta đã biết hoạt động quang hợp của cây có vai trò rất quan trọng trong việc tạo ra năng suất thực thu của cây trồng. Hoạt động quang hợp của cây được thúc đẩy tối ưu (tức là hiệu suất quang hợp tăng) sẽ giúp cây trồng tăng năng suất nông sản sau thu hoạch do quang hợp là quá trình đồng hóa các chất vô cơ đơn giản tạo thành các hợp chất hữu cơ phức tạp hơn, các chất hữu cơ này lần lượt được vận chuyển về các cơ quan dự trữ của cây trồng (củ, quả). Như vậy có thể hiểu hoạt động quang hợp của cây càng mạnh thì năng suất sinh vật học của cây trồng nói chung càng cao.
Muốn tăng hiệu suất quang hợp của cây trồng chúng ta cần thực hiện các biện pháp kỹ thuật chăm sóc tổng hợp cho cây trồng sao cho đạt được các yếu tố:
+ Bộ lá đạt chỉ số LAI (diện tích lá tối ưu để cây trồng thực hiện quá trình quang hợp thuận lợi nhất, hiệu suất cao nhất).
+ Bộ lá khỏe mạnh, không bị sâu bệnh (diệp lục không bị phá hủy bởi sâu bệnh).
+ Bộ lá đạt độ tuổi sinh lý ổn định để thực hiện các chức năng sinh lý, sinh hóa.
+ Bộ lá cần được hấp thụ lượng ánh sáng tối ưu và phù hợp.
+ Hàm lượng khí CO2 cung cấp cho bộ lá qua khí khổng phải đạt ngưỡng tối ưu.Vì khí CO2 là nguồn nguyên liệu cần thiết cung cấp cho quá trình quang hợp.
Vậy tại sao nano bạc lại có vai trò quan trọng trong hoạt động quang hợp của cây trồng, nói cụ thể hơn tại sao nano bạc lại có khả năng làm tăng năng suất cây trồng ? (…)
Nano bạc nếu được sử dụng định kỳ theo các giai đoạn sinh trưởng, phát triển của cây trồng thì hầu như cây không bị nhiễm bệnh (phòng bệnh chủ động). Do đó bộ lá của cây trồng có khả năng hấp thu ánh sáng tốt nhất để thực hiện phản ứng quang hợp. Một yếu tố nữa là ánh sáng có vai trò rất quan trọng đối với quang hợp của cây. Do quang hợp là quá trình chuyển hóa năng lượng ánh sáng “mặt trời” thành năng lượng hóa học “dự trữ” cần thiết cho tất cả sinh vật trên trái đất. Khi cường độ ánh sáng yếu, khả năng hấp thụ ánh sáng vào bộ lá kém dẫn đến hiệu suất quang hợp bị giảm sút. Nano Bạc làm tăng khả năng hấp thụ ánh sáng qua lá qua đó tăng hiệu suất quang hợp cho cây trồng…
Vậy cơ chế này xảy ra như thế nào?
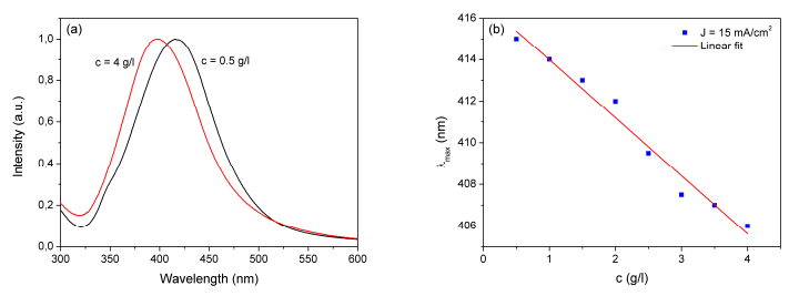
Chúng ta đã biết quang phổ mặt trời là liên tục, sự hấp thụ ánh sáng của các sắc tố quang hợp là gián đoạn và mạnh nhất là tại vùng ánh sáng tím, xanh và đỏ (dải bước sóng 390 – 420nm).
Khi phun nano bạc qua lá, ngoài tác dụng diệt vi khuẩn - nấm gây bệnh thì các hạt nano bạc còn giúp bộ lá tăng cường khả năng hấp thụ ánh sáng. Do bộ lá thường hấp thụ ánh sáng trong dải sóng 390 – 420nm(nanomet) vì vậy khi có mặt các hạt nano bạc trên bề mặt lá, tại bước sóng này (bước sóng 390 – 420nm) cường độ ánh sáng được hấp thụ tăng cường (ánh sáng hấp thụ nhiều nhất). Khi ánh sáng được bộ lá hấp thụ tối đa thì hoạt động quang hợp của cây trồng được thúc đẩy mạnh mẽ hơn vì thế mà hiệu suất của quá trình quang hợp được nâng cao đáng kể.


Nhìn vào phổ hấp thụ của hạt Nano Bạc chúng ta thấy rõ đỉnh hấp thụ ở bước sóng 420nm tại đó có một sự hỗ trợ về mặt hấp thụ ánh sáng rất lớn khi nano bạc xâm nhập vào tế bào thực vật. Ngoài ra tại đây chúng giao động do tính chất đặc trưng của hạt kim loại (hiện tượng plasmol) nên sinh ra nhiều năng lượng bổ sung cho quá trình trao đổi chất và tổng hợp các chất hữu cơ cần thiết cho sự sống của cây trồng.
Với các đặc tính vượt trội như trên Nano Bạc được ứng dụng rộng rãi trong sản xuất nông nghiệp với vai trò chính là phòng và đặc trị bệnh do nấm, vi khuẩn và virus gây ra, nâng cao năng suất cây trồng.
3.Cơ chế diệt nấm khuẩn của nano bạc
Bạc và các hợp chất của bạc thể hiện khả năng diệt vi khuẩn, virus, tảo và nấm. Tuy nhiên, khác với các kim loại nặng khác (chì, thủy ngân…) kim loại bạc không thể hiện tính độc với con người.
Từ xa xưa, người ta đã sử dụng đặc tính này của bạc để phòng bệnh. Người cổ đại sử dụng các bình bằng bạc để lưu trữ nước, rượu dấm. Thế kỷ 20, người ta đã bổ sung một hàm lượng bạc rất nhỏ trong chai sữa để kéo dài độ tươi của sữa. Bạc và các hợp chất của bạc được sử dụng rộng rãi từ đầu thế kỷ XIX đến giữa thế kỷ XX để điều trị các vết bỏng và khử trùng vết thương .
Sau khi thuốc kháng sinh được phát minh và đưa vào ứng dụng với hiệu quả cao người ta không còn quan tâm đến tác dụng kháng khuẩn của bạc nữa. Tuy nhiên những năm gần đây, do hiện tượng các chủng vi sinh vật đơn bào gây bệnh ngày càng trở nên kháng thuốc. Tổ chức Y tế Thế giới (WHO) đã công bố báo cáo, trong đó nhấn mạnh đến việc các quốc gia cần tăng cường kế hoạch hành động để chống tình trạng kháng thuốc kháng sinh trên người. Và rất nhiều chuyên gia y tế cảnh báo trong nhiều thập kỷ tới nếu tình trạng kháng thuốc không được cải thiện thì những bệnh đơn giản nhất con người cũng không có khả năng chữa khỏi. Trước tình hình đó người ta lại quan tâm trở lại đối với việc ứng dụng khả năng diệt khuẩn và các ứng dụng khác của bạc, đặc biệt là dưới dạng hạt có kích thước nano (nano bạc).
Tại sao các hạt nano bạc lại có khả năng diệt nấm, vi khuẩn (cơ chế diệt nấm khuẩn của các hạt nano bạc) ?
Bạc là một nguyên tố có tính kháng khuẩn tự nhiên, có khả năng tiêu diệt phổ rộng các loài vi sinh vật gây bệnh tuy nhiên nano bạc không gây ra các tác dụng độc hại đối với cơ thể con người và động vật nếu được sử dụng với liều lượng phù hợp.
Các đặc tính kháng khuẩn của bạc bắt nguồn từ tính chất hóa học của các ion Ag+. Hạt nano bạc ở kích thước 5-15nm có tỷ lệ phần trăm số nguyên tử nằm trên bề mặt rất lớn (hầu hết các nguyên tử tập trung tại bề mặt của hạt nano bạc). Có một số ít các nguyên tử nằm phía trong, các nguyên tử nằm ở bề mặt với số lượng lớn và hầu hết chúng không bị che chắn bởi các lớp, chính vì thế năng lượng bề mặt là rất nhỏ do đó chúng dễ dàng tách ra khỏi lớp bề mặt khiến chúng trở thành linh động hơn. Như vậy có thể hiểu rằng, nếu như ở vật liệu thông thường (vật liệu khối, không phải kích thước nano) chỉ một số ít nguyên tử nằm trên bề mặt, còn phần lớn các nguyên tử còn lại nằm sâu phía trong, bị các lớp ngoài che chắn thì trong cấu trúc của vật liệu nano, hầu hết các nguyên tử đều được "phơi" ra bề mặt hoặc bị che chắn không đáng kể vì thế mà diện tích bề mặt của vật liệu nano tăng lên rất nhiều so với vật liệu thông thường. Với các hạt nano bạc có kích thước nhỏ, phần lớn các nguyên tử tập trung nhiều tại bề mặt của hạt, chúng sẽ ít bị cản trở bởi lực hút của hạt nhân, các nguyên tử trở lên linh động hơn do năng lượng bề mặt giảm vì thế các nguyên tử rất dễ tách ra và các hạt nano bạc dễ dàng giải phóng các ion bạc mang diện dương(Ag+), các ion Ag+ này có tác dụng diệt nấm khuẩn gây bệnh theo cơ chế đặc thù.
Hiện nay tồn tại một số quan điểm giải thích cơ chế diệt khuẩn của bạc được nhiều người ủng hộ. Các quan điểm đó chủ yếu dựa trên sự tương tác tĩnh điện giữa ion bạc mang điện tích dương và bề mặt tế bào vi khuẩn mang điện tích âm và dựa trên sự vô hiệu hóa nhóm Thiol trong enzym vận chuyển oxy, hoặc trên sự tương tác của ion bạc với DNA dẫn đến sự Dime hóa pyridin và cản trở quá trình sao chép DNA của tế bào vi khuẩn.

Cơ chế diệt vi khuẩn của nano bạc được diễn tả theo một số quan điểm sau:
Các nhà khoa học thuộc hãng INOVATION Hàn Quốc cho rằng Bạc tác dụng trực tiếp lên màng bảo vệ của tế bào vi khuẩn. Màng này là một cấu trúc gồm các glycoprotein được liên kết với nhau bằng cầu nối axit amin để tạo độ cứng cho màng. Các ion Bạc vừa mới được giải phóng ra từ bề mặt các hạt nano Bạc tương tác với các nhóm Peptidoglican và ức chế khả năng vận chuyển oxy của chúng vào bên trong tế bào, dẫn đến làm tê liệt vi khuẩn. Các tế bào động vật thuộc nhóm sinh vật bậc cao (Sinh vật đa bào: động vật nói chung bao gồm cả con người là ĐV bậc cao) có lớp màng bảo vệ hoàn toàn khác so với tế bào vi sinh vật đơn bào (Nấm, Vi khuẩn và Virus). Chúng có hai lớp Lipoprotein giàu liên kết đôi bền vững có khả năng cho điện tử do đó không cho phép các ion Bạc xâm nhập, vì vậy chúng không bị tổn thương khi tiếp xúc với các ion Bạc. Điều này có nghĩa Nano Bạc hoàn toàn không gây hại đến con người và động vật nói chung, do cấu trúc màng tế bào bền vững và dày hơn các vi sinh vật đơn bào gây bệnh như nấm, vi khuẩn và virus.
Cơ chế tác động của các ion bạc lên vi khuẩn được các nhà khoa học Trung Quốc làm việc trong hãng ANSON mô tả như sau: khi ion Ag+ tương tác với lớp màng của tế bào vi khuẩn gây bệnh nó sẽ phản ứng với nhóm Sunphohydril - SH của phân tử enzym vận chuyển oxy và vô hiệu hóa Enzym này dẫn đến ức chế quá trình hô hấp của tế bào vi khuẩn.

Ion bạc vô hiệu hóa enzym chuyển hóa oxy của vi khuẩn
Ngoài ra, các ion bạc còn có khả năng ức chế quá trình phát triển của vi khuẩn bằng cách sản sinh ra oxy nguyên tử siêu hoạt tính trên bề mặt của hạt nano bạc:
2Ag+ + O-2 => 2Ag0 + O0
Theo các nhà khoa học Nga, hiện nay có nhiều lý thuyết về cơ chế tác dụng diệt vi khuẩn của nano bạc đã được đề xuất, trong đó lý thuyết hấp phụ được nhiều người chấp nhận hơn cả. Bản chất của thuyết này là ở chỗ tế bào vi khuẩn bị vô hiệu hóa là do kết quả của quá trình tương tác tĩnh điện giữa bề mặt mang điện tích âm của tế bào vi khuẩn và ion Ag+ được hấp phụ lên đó, các ion này sau đó xâm nhập vào bên trong tế bào vi khuẩn và vô hiệu hóa chúng.

Các hạt nano tương tác với tế bào vi khuẩn bằng lực bám hút tĩnh điện
Cho đến nay, những gì liên quan đến cơ chế tác động của Nano Bạc lên tế bào vi sinh vật (đơn bào), mới chỉ có một quan điểm được hầu hết các nhà khoa học thừa nhận. Đó là khả năng diệt khuẩn của hạt Nano Bạc là kết quả của quá trình biến đổi (giải phóng liên tục) các nguyên tử Bạc kim loại trên bề mặt hạt Nano Bạc thành các ion Ag+ tự do và các ion tự do này sau đó tác dụng lên vi khuẩn và diệt khuẩn theo những cơ chế đã nói ở trên. Tuy nhiên nếu dùng Ag+ thì lại không có hiệu quả cao mà phải là hạt nano Ag, tức phân tử bạc.
Tựu chung lại các nhà khoa học đã đề xuất một số giả thiết về cơ chế diệt khuẩn của Nano Bạc như sau:

Các cơ chế diệt vi khuẩn của nano bạc được mô hình hóa bằng 4 hình ảnh trên (A-B-C-D)
Cơ chế thứ nhất: Ức chế quá trình vận chuyển các ion Na+ và Сa2+ qua màng tế bào, ngăn cản quá trình trao đổi chất (Hình A).
Cơ chế thứ hai: Phá vỡ màng tế bào, Oxy hóa nguyên sinh chất của tế bào vi khuẩn, phá hủy nguyên sinh chất bởi oxi hòa tan trong nước với vai trò xúc tác của Bạc (Hình B).
Cơ chế thứ ba: Tác động gián tiếp lên phân tử DNA bằng cách tăng số lượng các gốc tự do làm giảm hoạt tính của các hợp chất chứa ôxy hoạt động, làm rối loạn các quá trình ôxy hóa cũng như Phosphoryl hóa trong tế bào vi khuẩn (Hình C).
Cơ chế thứ tư: vô hiệu hóa enzym có chứa các nhóm –SH và –COOH, phá vỡ cân bằng áp suất thẩm thấu, hoặc tạo phức với axit nucleic dẫn đến làm thay đổi cấu trúc DNA của tế bào vi sinh vật (tác động trực tiếp đến cấu trúc DNA_ Hình D).
Ngoài ra, một số nhà khoa học còn cho rằng ion bạc có khả năng vô hiệu hóa các loài Virus gây bệnh đậu mùa, bệnh cúm A-1, B, adenovirus và HIV, cho hiệu quả điều trị tốt đối với các bệnh virus Marburg, virus bệnh đường ruột (enteritis) và virus bệnh chó dại. Tuy nhiên, để có thể vô hiệu hóa hoàn toàn virus bacteriophag đường ruột N163, virus Koksaki serotyp A-5, A-7, A-14 cần đến nồng độ bạc cao hơn (0.5 – 5.0 mg/lít) so với trường hợp xử lý Escherichia, Salmonella, Shigellia và các loài virut đường ruột khác (0.1 – 0.2 mg/lít).
Nano bạc thể hiện mạnh mẽ khả năng diệt nấm: tại nồng độ 0.1mg/lít (0,1ppm), với mật độ 105 tế bào/lít, nấm Candida albicans có thể bị vô hiệu hóa hoàn toàn sau 30 phút tiếp xúc với các hạt Nano Bạc. Ngoài ra còn rất nhiều thử nghiệm khoa học đã chứng minh phổ diệt khuẩn rất rộng của Nano Bạc.
Xét trên góc độ sinh học các nhà nghiên cứu đều có một quan điểm thống nhất rằng Nano Bạc diệt khuẩn theo một trong những cơ chế sau:
Một là: Nano Bạc phá hủy chức năng hô hấp.
Hai là: Nano Bạc phá hủy chức năng của thành tế bào.
Ba là: Nano Bạc liên kết với DNA của tế bào vi sinh vật và ức chế chức năng sao chép của chúng, kìm hãm chúng, không cho chúng phát triển mạnh.
Ion bạc Ag+ liên kết với các base của DNA - vi khuẩn
4.Chế phẩm nano bạc ứng dụng trong nông nghiệp
Với những tính năng diệt khuẩn vượt trội và an toàn của Nano Bạc mà hiện nay ngoài lĩnh vực trồng trọt Nano Bạc còn được ứng dụng trong cả lĩnh vực nuôi trồng thủy hải sản đem lại hiệu quả kinh tế cao, bền vững, giảm chi phí đầu tư trong quản lý dịch bệnh trên tôm, cá nói chung. Nano Bạc được sử dụng để xử lý môi trường nước ô nhiễm, xử lý đáy ao (đầm nuôi) trước khi thả cá, tôm giống, diệt mầm bệnh trong môi trường nuôi một cách an toàn, hiệu quả nhanh mà không gây ảnh hưởng đến thủy sản.
Lưu ý: Do một số đặc lý lý hóa đặc trưng của nano bạc, hiện nay nano bạc được ứng dụng rộng rãi trong lĩnh vực chăn nuôi thủy sản và chăn nuôi gia súc gia cầm. Thực tế cho thấy nano bạc ứng dụng trong chăn nuôi thủy sản và chăn nuôi gia súc gia cầm mang lại hiệu quả cao hơn rất nhiều so với ứng dụng trong trồng trọt bởi nano bạc mặc dù diệt nấm khuẩn rất tốt tuy nhiên khi sử dụng trên cây trồng (phun qua lá) thường bị oxi hóa nhanh dưới tác động của ánh sáng mạnh, hiệu lực ngắn hơn. Do đó trong lĩnh vực trồng trọt sản phẩm nano hợp kim bạc đồng cho thấy hiệu quả vượt trội hơn nano bạc gấp hàng chục lần. Nano hợp kim bạc đồng bền vững hơn, không bị tác động bởi ánh sáng, thời gian diệt khuẩn nấm dài hơn nano bạc, khả năng tồn lưu trên bộ lá cũng dài hơn so với nano bạc. Mặt khác nano bạc đồng hợp kim diệt nấm khuẩn với phổ cũng rộng hơn, diệt khuẩn mạnh hơn cho nên trong nông nghiệp để đem lại hiệu quả tối ưu nên ứng dụng nano bạc trong lĩnh vực chăn nuôi, nano bạc đồng ứng dụng trong lĩnh vực trồng trọt. Tuy nhiên trong nhiều trường hợp tùy mục đích và điều kiện sử dụng có thể sử dụng xen kẽ luân phiên giữa nano bạc đồng với nano bạc trong chăn nuôi và trồng trọt nói chung. Chẳng hạn muốn tăng năng suất cây trồng, nâng cao hiệu suất quang hợp có thể sử dụng chế phẩm nano bạc phun qua lá. Tuy nhiên xét về góc độ diệt nấm khuẩn trên cây trồng (phòng trị bệnh) thì nano bạc đồng mang nhiều đặc tính ưu việt hơn so với nano bạc.
Chế phẩm nano bạc chuyên dùng cho thủy sản:
+ Nồng độ: nồng độ 500-2000ppm(500mg/lít; 2000mg/lít)
+ Kích thước hạt: 2-12nm, hình khối cầu, dễ phân tán di chuyển trong môi trường nước.
+ Chất hoạt động bề mặt PVP - K30 nồng độ 300ppm. Hạt nano bạc được bao bọc bởi PVP chống keo tụ.
+ pH = 9-10, môi trường khử (môi trường phân tán), nước cất vừa đủ.
+ Màu sắc dung dịch: ở nồng độ 500mg/lít nano Bạc có màu đỏ cánh gián.
+ Thời hạn sử dụng: 3 năm
Nano Bạc là một sản phẩm sạch, không độc hại, không gây ô nhiễm môi trường, an toàn khi sử dụng, hiệu quả kinh tế cao. Khi sử dụng có thể trực tiếp dùng tay pha sản phẩm mà không cần đồ bảo hộ. Ở nồng độ 500ppm(500mg/lít), cứ 1ml có chứa tới 70x1012 hạt Nano Bạc (bảy mươi nghìn tỷ hạt nano bạc) với kích thước 6-12nm. Do Nano bạc nằm trong môi trường phân tán (môi trường khử mạnh, có chất hoạt động bề mặt) nên các hạt Nano Bạc mặc dù rất nhỏ nhưng hầu như không bị “keo tụ” do đó thời hạn sử dụng của Nano Bạc 500-1000ppm nên tới 3 năm. Kích thước hạt vô cùng nhỏ, có bề mặt riêng rất lớn cho nên khả năng diệt khuẩn của Nano Bạc rất cao, hiệu quả nhanh. Đặc biệt trong môi trường nước khi sử dụng Nano Bạc té xuống ao đầm nuôi thủy sản, trong quá trình di chuyển và phân tán của các hạt Nano Bạc ở môi trường nước các hạt Nano bạc có khả năng bám lên bề mặt tế bào vi khuẩn và diệt chúng chỉ trong khoảng 10-15 phút. Nano bạc sinh ra các ion mang điện dương, chính các ion bạc mang điện dương này tạo ra một lực hút tĩnh điện lên các tế bào vi sinh vật gây bệnh mang điện âm nếu chúng cách nhau một khoảng vừa đủ. Thông thường 1ml nano bạc ở nồng độ gốc 500ppm (500mg/lít) có chứa tới 70x1012 hạt nano bạc (bảy mươi nghìn tỷ hạt nano bạc). Để diệt 1 vi khuẩn trong môi trường nước, trung bình cần 3-4 hạt Nano Bạc bám trên một vi khuẩn với hiệu suất bám của các hạt là 70-80% do đó chỉ sau một thời gian ngắn các vi sinh vật đơn bào gây bệnh có trong môi trường nước bị tiêu diệt hoàn toàn. Sau khi diệt khuẩn các hạt Nano Bạc cùng với "xác" vi khuẩn chìm xuống đáy ao hồ mà không gây ảnh hưởng đến thủy sản.
Như vậy có thể nói ở nồng độ 500ppm, chỉ tính trong 1ml dung dịch gốc nano bạc thì số lượng hạt nano bạc là rất lớn. Một chai 500ml nano bạc nồng độ 500ppm có thể pha loãng với 50-100 lít nước té đều cho 1000-2000m3 ao, đầm nuôi thủy sản.
5.Tổng quát hóa vai trò, công dụng của nano bạc trong nông nghiệp
Khử mùi hôi và diệt vi khuẩn, nấm theo cơ chế đặc thù, ức chế và kìm hãm quá trình phát sinh và phát triển của virus gây bệnh. Khác với các dòng thuốc kháng sinh, Nano Bạc không có tính kháng thuốc, không độc hại, an toàn khi sử dụng. Dung dịch Nano Bạc 500-1000ppm có màu cánh gián đến đỏ bã trầu. Nano bạc không bị thay đổi tính chất, trơ với hầu hết mọi môi trường nên hiệu quả diệt nấm và vi khuẩn rất bền vững. Các hạt Nano Bạc có tác dụng diệt nấm khuẩn theo cơ chế đặc thù riêng biệt do đó Nano Bạc được sử dụng như một loại thuốc BVTV, có vai trò quan trọng trong việc phòng và trị bệnh. Để đạt hiệu quả phòng trị bệnh cao nên sử dụng Nano Bạc thường xuyên, định kỳ phun qua lá kết hợp tưới gốc. Nano Bạc có tác dụng phòng chống sự xâm nhiễm của nấm và vi khuẩn gây bệnh xâm nhập qua các tế bào lá và rễ. Phòng và trị rất tốt các nhóm bệnh do nấm khuẩn gây ra như: bệnh lở cổ rễ, vàng lá thối rễ, các bênh đốm lá, loét cam, thối nhũn...
Ngoài ra khi sử dụng Nano Bạc phun qua lá sẽ làm tăng khả năng hấp thụ ánh sáng của bộ lá qua đó giúp tăng cường hiệu suất quang hợp của cây, tăng khả năng vận chuyển dinh dưỡng đồng hóa về các cơ quan dự trữ (quả, củ) làm tăng năng suất cây trồng.
Khử mùi hôi và diệt vi khuẩn, nấm theo cơ chế đặc thù, ức chế và kìm hãm quá trình phát sinh và phát triển của virus gây bệnh. Khác với các dòng thuốc kháng sinh, Nano Bạc không có tính kháng thuốc, không độc hại, an toàn khi sử dụng. Nano bạc không bị thay đổi tính chất, trơ với hầu hết mọi môi trường nên hiệu quả diệt nấm và vi khuẩn rất bền vững. Các hạt Nano Bạc có tác dụng diệt nấm khuẩn theo cơ chế đặc thù riêng biệt do đó Nano Bạc được sử dụng như một loại thuốc BVTV, có vai trò quan trọng trong việc phòng và trị bệnh cho cây trồng. Để đạt hiệu quả phòng trị bệnh cao nên sử dụng Nano Bạc thường xuyên, định kỳ phun qua lá kết hợp tưới gốc. Nano Bạc có tác dụng phòng chống sự xâm nhiễm của nấm và vi khuẩn gây bệnh xâm nhập qua các tế bào lá và rễ. Phòng và trị rất tốt các nhóm bệnh do nấm khuẩn gây ra như: bệnh lở cổ rễ, vàng lá thối rễ, các bênh đốm lá, loét cam, thối nhũn...
Ngoài ra khi sử dụng Nano Bạc phun qua lá sẽ làm tăng khả năng hấp thụ ánh sáng của bộ lá qua đó giúp tăng cường hiệu suất quang hợp của cây, tăng khả năng vận chuyển dinh dưỡng đồng hóa về các cơ quan dự trữ (quả, củ) làm tăng năng suất cây trồng.
Như vậy có thể tóm lược những ứng dụng quan trọng của Nano Bạc đối với nông nghiệp như sau:
Đối với trồng trọt:
+ Phòng và trị bệnh do nấm, khuẩn và virus gây ra (thay thế hoàn thoàn thuốc BVTV hóa học dùng để phòng trị bệnh trên cây trồng). Sử dụng Nano Bạc thường xuyên định kỳ theo các giai đoạn sinh trưởng, phát triển của cây giúp cây trồng ngăn ngừa chủ động từ xa dịch bệnh, giảm chi phí trong việc BVTV, tăng giá trị nông sản phẩm.
+ Nâng cao khả năng hấp thụ ánh sáng cho bộ lá cây trồng qua đó làm Tăng hiệu suất quang hợp của cây trồng, tăng cường vận chuyển dinh dưỡng về các cơ quan dự trữ, giúp cây trồng tăng năng suất, sản lượng.
+ Sử dụng Nano Bạc trong việc sản xuất giá đỗ và rau mầm làm tăng chất lượng giá đỗ: giảm quá trình gây mùi hôi trong quá trình trồng rau mầm và sản xuất giá đỗ, tăng thời gian bảo quản,tiêu diệt vi khuẩn và nấm gây bệnh thối nhũn…
+ Bổ sung Nano Bạc vào nước cắm hoa, giúp hoa tươi lâu, kéo dài thời gian chơi hoa, giảm mùi hôi thối và các bệnh thối nhũn hoa..
Đối với chăn nuôi thủy sản:
+ Cải thiện môi trường ao nuôi, giảm mùi hôi tanh của nước.
+ Phòng và đặc trị bệnh do các VSV đơn bào gây ra trên tôm, cá, ba ba, ếch (nấm, vi khuẩn và virus gây bệnh). Nano Bạc thể hiện vai trò diệt khuẩn cực mạnh trong môi trường nước. Trong quá trình di chuyển và phân tán ở môi trường nước chúng vừa khử mùi và tiêu diệt mầm bệnh. Các hạt Nano Bạc tồn tại trong môi trường nước trong quá trình phân tán và di chuyển chúng sẽ bám hút nên bề mặt tế bào vi khuẩn và diệt chúng theo cơ chế đặc thù. Các hạt Nano Bạc mang điện tích dương, vi sinh vật(VSV) gây bệnh mang điện tích âm do đó Nano Bạc và vi khuẩn gây bệnh sẽ hút nhau, chỉ cần 3-4 hạt Nano Bạc bám trên một con vi khuẩn thì vi khuẩn đó hầu như không có cơ hội sống sót, do tại bề mặt tế bào vi khuẩn hạt Nano Bạc có kích thước nhỏ bé giải phóng liên tục ra các ion Bạc, các ion bạc này tiêu diệt trực tiếp vi khuẩn thông qua các cơ chế khác nhau (xem thêm phần cơ chế diệt khuẩn của Nano Bạc).
Ngoài ra hiện nay nano bạc còn được kết hợp với nano kẽm oxit để trộn với thức ăn của thủy sản giúp tăng cường hệ miễn dịch, chống nấm mốc thức ăn, hạn chế độc tố sản sinh từ thức ăn, giảm tối đa các bệnh liên quan đến hệ tiêu hóa.
Đối với chăn nuôi gia súc, gia cầm:
Nano Bạc có tác dụng phòng và trị bệnh thông qua việc phun Nano bạc trong môi trường sống của vật nuôi. Sử dụng dung dịch Nano Bạc (1-5ppm) pha loãng với nước phun định kỳ 7-10 ngày có tác dụng phòng bệnh rất tốt, nano bạc có tác dụng tiêu diệt các nhóm vi khuẩn, nấm gây bệnh trên vật nuôi tồn tại ở môi trường sống. Ngoài ra Nano Bạc còn có tác dụng khử mùi hôi chuồng trại, giúp không khí sạch hơn qua đó phòng bệnh cho vật nuôi một cách chủ động (đặc biệt là bệnh hô hấp).
Sử dụng Nano Bạc trộn với thức ăn hoặc nước uống: Tiêu diệt vi khuẩn E.Coli gây bệnh đường ruột (tiêu chảy, phân trắng), phòng và trị bệnh do nấm, vi khuẩn gây bệnh.
Lưu ý:
+ Nano bạc có thể được sử dụng phòng và trị bệnh cho cây trồng (phun qua lá hoặc tưới gốc) tuy nhiên hiệu quả sử dụng không cao bằng nano bạc đồng (hợp kim) do nano bạc nhanh bị oxi hóa, mà nano bạc đồng hợp kim có phổ diệt nấm khuẩn mạnh hơn. Do đó nano bạc thường được chỉ định sử dụng trong chăn nuôi.
+ Tùy vào điều kiện môi trường, đối tượng sử dụng và mức độ nhiễm bệnh của cây trồng – vật nuôi mà có cách sử dụng (liều lượng) thích hợp. Liều lượng phòng bệnh thường nhỏ hơn so với liều lượng trị bệnh. Liều lượng khuyến cáo dùng trong phòng trị bệnh trên cây trồng, vật nuôi là 1-10ppm.
TRUNG TÂM PHÁT TRIỂN NÔNG NGHIỆP CÔNG NGHỆ CAO NANOTECH
Tư vấn kỹ thuật, ứng dụng công nghệ nano trong nông nghiệp:
ThS Phạm Công Khải - Hotline: 0976 804 678 * 0835 99 85 99
Email: nanobacsuper@gmail.com



